Czy wiesz, że odpowiednio dobrany silnik hydrauliczny może zwiększyć wydajność Twojej maszyny i obniżyć koszty eksploatacji? W tym artykule przedstawiamy jak odpowiedni dobór silnika hydraulicznego, który uwzględnia jego zastosowanie, może ulepszyć maszynę z układem hydraulicznym. Ponadto porównamy typy silników, przedstawimy ich podział pod względem parametrów i cech konstrukcyjnych.
Jeśli potrzebujesz pomocy w doborze silnika, skontaktuj się z nami: info@hektos.com, +48 22 203 50 79.
Jeśli potrzebujesz pomocy w doborze silnika, skontaktuj się z nami: info@hektos.com, +48 22 203 50 79.
Jaka jest zasada działania silnika hydraulicznego?
Zadaniem silnika hydraulicznego jest zamiana energii ciśnienia cieczy na energię mechaniczną ruchu obrotowego. Jest to możliwe, ponieważ silniki hydrauliczne są silnikami wyporowymi, a więc po doprowadzeniu cieczy pod ciśnieniem do komór wyporowych, zmieniających swoją objętość, wymuszają ruch elementów wyporowych. Następnie ruch elementów wyporowych jest zamieniany na ruch obrotowy wału wyjściowego silnika. Ciecz (olej hydrauliczny), która oddała swoją energię odprowadzana jest do zbiornika w przypadku układów otwartych.W przypadku układów zamkniętych nie ma zbiornika (poza niewielkim zbiornikiem do zasysania oleju przez pompę w celu uzupełnienia strat), a ciecz krąży między pompą a silnikiem. Większość silników hydraulicznych, a w szczególności silników tłokowych i orbitalnych, nadaje się do pracy zarówno w układach otwartych, jak i zamkniętych.
W silnikach tłokowych osiowych z wychylnym wirnikiem ciecz pod ciśnieniem jest doprowadzana do komór utworzonych przez wirnik (gniazdo tłoków) i tłoki. Pod wpływem ciśnienia tłoki dążą do wysuwania się z wirnika - ten ruch przenoszony jest na tarczę przegubową wału, co powoduje obrót wału. Ciecz z pozostałych komór wirnika jest odprowadzana do zbiornika przez wsuwanie się tłoków.
 
Konstrukcja silnika tłoczkowego skośnego Hydro Leduc [źródło: katalog: Bent axis hydraulic motors, fixed displacement, Hydro Leduc, 2019]
Silniki orbitalne mogą mieć 2 konstrukcje:
- elementy wyporowe to 2 koła zębate o zarysie epicykloidalnym lub
- konstrukcja z rolkami zamiast zewnętrznego koła zębatego (geroler) - ta wersja pozwala na uzyskanie większych momentów obrotowych.
|   |   | 
Zasada działania jest podobna do silników tłokowych, jednak inne są elementy wyporowe. Pierścień zębaty wykonuje ruch orbitujący pod wpływem doprowadzonej pod ciśnieniem cieczy. Ruch obrotowy jest przenoszony na wał silnika, a ciecz, która oddała swoją energię, jest odprowadzana do zbiornika.
 
Istnieje jeszcze dodatkowy podział na silniki o stałej i zmiennej chłonności. Większość silników przedstawionych na diagramie to silniki o stałej chłonności, ale w ofercie mamy także silniki o zmiennej chłonności produkowane przez firmę Hydro Leduc: MV-MVA-MVSI oraz MSI2C.
 
Klasyfikacja silników hydraulicznych
Silniki hydrauliczne można sklasyfikować ze względu na:- prędkość obrotową i moment obrotowy,
- rodzaj ruchu elementów wyporowych (cechy konstrukcyjne),
- możliwość zmiany chłonności.
 
Najpopularniejszymi silnikami pozostają: silniki tłoczkowe skośne (czyli tłoczkowe osiowe z wychylnym wirnikiem), orbitalne oraz zębate o zazębieniu zewnętrznym.
Przykłady zastosowań oraz zalety i wady poszczególnych typów silników
Silniki zębate są najczęściej wykorzystywane do lekkich zastosowań, w których ważna jest wysoka prędkość obrotowa, czyli np.: napęd wentylatorów, siewników i dmuchaw: 

 
 
 
 
Poniżej zestawiono zalety i wady różnych typów konstrukcyjnych silników hydraulicznych i podano przykłady konkretnych modeli:
| Typ: Silnik zębaty |   | Zalety: + Niski koszt; + Kompaktowe rozmiary; + Szeroki zakres dostępnych prędkości obrotowych; + Możliwość pracy w układach do ok. 200 bar; + Dobra tolerancja na zmiany lepkości oleju; + Względnie bardziej odporny na zanieczyszczenia w porównaniu z innymi typami silników Wady: - Hałaśliwa praca; - Niska sprawność w porównaniu z innymi typami silników; - Ograniczone możliwości precyzyjnego sterowania i niska dokładność w utrzymaniu stałej prędkości obrotowej przy zmiennym obciążeniu; - Podatność na zużycie ścierne; - Wysokie ryzyko kawitacji przy niskim ciśnieniu | 
| Typ: Silnik tłoczkowy |   | Zalety: + Wysoka sprawność; + Duża moc w stosunku do masy; + Kompaktowe rozmiary w porównaniu z silnikami elektrycznymi o tej samej mocy i prędkości obrotowej; + Mała bezwładność układu - możliwe częste i gwałtowne zmiany prędkości i obciążenia przy zainstalowaniu odpowiednich zaworów antykawitacyjnych i hamujących; + Precyzyjne sterowanie; + Szeroki zakres prędkości obrotowych; + W niektórych konstrukcjach możliwość zmiany chłonności Wady: - Wysoki koszt; - Złożona konstrukcja - drogie koszty napraw; - Wymagają dokładnej filtracji cieczy roboczej; - Zmiany lepkości mogą wpływać na właściwości statyczne i dynamiczne; - Hałaśliwa praca; - Możliwe wycieki cieczy roboczej - należy podłączyć przewód przecieków do zbiornika | 
| Typ: Silnik orbitalny |   | Zalety: + Wysoki moment obrotowy; + Niska prędkość obrotowa - można je bezpośrednio sprzęglić z wałkami maszyn bez stosowania przekładni; + Zwarta zabudowa; + Możliwość pracy w trudnych warunkach; + Wszechstronność zastosowań Wady: - Tarcie i zużycie; - Wymagania dotyczące czystości oleju; - Hałaśliwa praca; - Ograniczona sprawność mechaniczna; - Potrzeba stosowania specjalnych rozwiązań konstrukcyjnych - do poprawy samosmarowalności stosuje się rolki; - Wysokie koszty eksploatacji; - Ryzyko uszkodzeń w wyniku przeciążeń | 
Kryteria doboru silnika hydraulicznego
Podstawowymi parametrami, które bierze się pod uwagę przy doborze silnika hydraulicznego są prędkość i moment obrotowy.Silniki szybkoobrotowe są odpowiednie do zastosowań, w których jest wymagana wysoka prędkość, jednak należy mieć na uwadze, że moment obrotowy generowany przez takie silniki jest niewielki.
Silniki wolnoobrotowe często są stosowane tam, gdzie jest potrzebny duży moment obrotowy, a przez małą prędkość obrotową - nie trzeba stosować przekładni redukcyjnych. Bezpośrednie połączenie z wałem maszyny upraszcza konstrukcję i potencjalnie zmniejsza straty energii. W poprzednim akapicie przedstawiono możliwe zastosowania różnych typów silników, a także korzyści i ograniczenia ze stosowania danego silnika.
W celu ułatwienia wstępnego wyboru silnika, poniżej porównano istotne parametry hydrauliczne silników:
| Typ silnika | Moment obrotowy [Nm] | Maks. ciśnienie [bar] | Prędkość obrotowa [obr/min] | Objętość robocza [cm3/obr] | Maks sprawność całkowita, η | |
| min. | maks. | |||||
| Zębaty o zazębieniu zew. | 20÷100 | 200 | 200 | 4000 | 4÷60 | 0,85 | 
| Wielotłoczkowy osiowy z wychylnym wirnikiem | 30÷4500 | 400 | 100 | 8000 | 5÷2000 | 0,95 | 
| Tłokowy promieniowy | 20÷200000 | 250 | 1 | 250 | 50÷20000 | 0,95 | 
| Orbitalny | 20÷800 | 250 | 10 | 1500 | 10÷500 | 0,85 | 
Przy projektowaniu układu i doborze silnika warto wziąć pod uwagę jeszcze dodatkowe aspekty, które mają wpływ na wydajność i koszty eksploatacji układu:
1. Sposób regulacji prędkości obrotowej:
- Dławieniowe nastawienie prędkości obrotowej, które jest prostym i powszechnym rozwiązaniem z wykorzystaniem silników i pomp o stałej objętości roboczej. Wadą takiego rozwiązania są straty energii, które są spowodowane przepływem nadmiaru oleju z dławienia do zbiornika, co z kolei prowadzi do grzania się oleju hydraulicznego.
- Objętościowe nastawianie prędkości jest bardziej efektywne energetycznie i może być zrealizowane stosując pompy o zmiennej wydajności i/lub silniki o zmiennej chłonności. Zaletą tego rozwiązania jest możliwość precyzyjnego dostosowania prędkości obrotowej do obciążenia, minimalizując straty. Niestety są to układy o wyższych kosztach inwestycyjnych.
- Dobór elementów układu hydraulicznego, w tym silnika, w taki sposób, aby pracowały na zbliżonych poziomach ciśnień i przepływów.
- Standardowo w każdym układzie hydraulicznym stosuje się zawory maksymalne (przelewowe), które chronią układ przed nadmiernym wzrostem ciśnienia. Jednak zastosowanie tylko zaworu przelewowego generuje straty energii przez ciągłe odprowadzanie nadmiaru oleju do zbiornika.
- Lepszym rozwiązaniem jest zastosowanie dodatkowo zaworu odciążającego i bezpośrednie zabezpieczenie silnika przed przeciążeniami technologicznymi i bezwładnościowymi, dzięki czemu można zapobiec uszkodzeniom i przestojom silnika. Przekłada się to na niższe koszty napraw.
- Stosowanie filtrów i dbałość o czystość cieczy roboczej zmniejsza zużycie elementów hydraulicznych, wydłuża ich żywotność i obniża koszty napraw.
- Na przykładzie silników tłoczkowych marki Hydro Leduc przy montażu silnika w maszynie należy mieć na uwadze siłę promieniową działającą na wał silnika, pozycję montażu silnika oraz stałe zanurzenie linii przecieków w cieczy:
 
Jak dobrać (obliczyć) właściwy silnik do danego zastosowania?
Najważniejszymi parametrami przy doborze silnika hydraulicznego są: moment obrotowy oraz prędkość obrotowa. Poniżej przedstawiono kolejne kroki do przeprowadzenia obliczeń silników hydraulicznych.Po pierwsze do obliczeń wykorzystuje się następujące wielkości:
| n | - | prędkość obrotowa | obr/min | 
| M | - | moment siły (moment obrotowy) | Nm | 
| Mt | - | moment obrotowy teoretyczny | Nm | 
| Δp | - | różnica ciśnień między portami roboczymi A i B | bar | 
| q | - | objętość robocza | cm3/obr | 
| Q | - | natężenie przepływu (wydajność - pompa, chłonność - silnik) | l/min | 
| η | - | sprawność ogólna | % | 
Po drugie wzory, które będą potrzebne do obliczenia momentu obrotowego i prędkości obrotowej to:
Teoretyczny moment obrotowy:

Moment obrotowy z uwzględnieniem sprawności:

Prędkość obrotowa:

Przykład: Chcąc dobrać silnik hydrauliczny do wciągarki hydraulicznej, potrzebne są następujące informacje:
- Jaka jest wymagana prędkość obrotowa wciągarki? W tym przykładzie: n = 400 obr/min
- Jaki jest wymagany rzeczywisty moment obrotowy dla wciągarki? W tym przykładzie M = 200 Nm
- Czy pompa hydrauliczna już jest w układzie? Jeśli tak, to jakie jest jej maksymalne ciśnienie pracy ciągłej? W tym przykładzie Δp = 350 bar (przyjmuje się, że ciśnienie pompy to różnica ciśnień między portami A i B silnika)


2. Następnie należy sprawdzić z kartą katalogową wstępnie wytypowanej serii silników, jakie wielkości (objętości geometryczne) występują w danej serii. W przypadku silników M marki Hydro Leduc do wyboru są: M32 (32 cm3/obr) oraz M41 (41 cm3/obr).
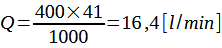
3. Ostatnim krokiem jest obliczenie natężenia przepływu, które powinna zapewnić pompa, aby silnik (wciągarka) obracał się z prędkością 400 obr/min. W tym celu należy skorzystać z trzeciego wzoru podanego powyżej:

Dla silnika M32:

Dla silnika M41:

Podsumowując wybór silnika zależy od tego, jakie parametry prędkości i momentu obrotowego są wymagane przez odbiornik oraz jakie parametry pracy może osiągnąć pompa hydrauliczna zainstalowana w układzie. Jeśli jest to całkowicie nowy układ i wymaga również doboru pompy, to należy skupić się na parametrach odbiornika wymienionych wcześniej.
Wyżej podane obliczenia można stosować do każdego typu silnika hydraulicznego, przy czym można wykonywać takie obliczenia dla wartości teoretycznych, ale warto wziąć pod uwagę różne sprawności zależne od cech konstrukcyjnych silników.
 
Konserwacja i eksploatacja silników hydraulicznych
Podstawowe warunki pracy silników powinny być podane w każdym katalogu producenta, np.: 
- katalog silników orbitalnych M+S - zasady eksploatacji pod tabelami z danymi technicznymi, np. na stronie 5,
- katalog silników tłoczkowych Hydro Leduc - zasady eksploatacji na stronie 6.
Jedną z zalet układów hydrostatycznych, w tym ich elementów, czyli m.in. silników hydraulicznych, jest samosmarowność. Elementy silnika hydraulicznego są smarowane olejem roboczym, zatem wystarczy dbać o stosowanie oleju o odpowiedniej lepkości oraz zapewnić czystość oleju.
W większości przypadków odpowiednim typem cieczy roboczej jest mineralny olej hydrauliczny o zakresie lepkości np. od 20 do 75 (silniki orbitalne M+S), od 15 do 400 cSt (silniki tłoczkowe M-MA-MSI) lub od 15 do 92 cSt (silniki zębate B&C).
Bardzo ważnym elementem jest również utrzymywanie czystości oleju hydraulicznego poprzez: filtrację oleju (filtrację nowego oleju przed uzupełnieniem go w układzie oraz stosowanie filtrów na stałe w układzie, np. filtrów powrotnych) oraz regularną wymianę oleju. Klasa czystości oleju jest również określana przez producenta i zależy od typu silnika:
- silniki zębate B&C: klasa czystości 23/20 wg ISO DIS 4406 dla ciśnień roboczych powyżej 150 bar,
- silniki orbitalne M+S i Rolltorq: klasa czystości 20/16 wg ISO DIS 4406 (rekomendowany poziom filtracji: 25μm),
- silniki tłoczkowe MXP Hydro Leduc: klasa czystości 18/15 wg ISO DIS 4406,
- silniki tłoczkowe M-MA-MSI Hydro Leduc: klasa czystości 20/18/15 wg ISO DIS 4406 (dla wysokich temperatur pracy od 90 do 115°C minimalna klasa czystości powinna wynosić 19/17/14).
Tak jak w przypadku pomp hydraulicznych, aby zapobiegać awariom silników należy kontrolować ciśnienie i temperaturę pracy silnika: praca w nominalnych parametrach tych wartości wydłuża czas pracy silnika. Należy unikać przegrzewania się oleju i przeciążeń silnika, które powoduje nadmierny wzrost ciśnienia. Przeciążenia i gwałtowne zmiany obciążenia mogą powodować uszkodzenia elementów wewnętrznych silnika. W szczególności należy unikać gwałtownego uruchamiania i zatrzymywania silnika pod obciążeniem.
Producenci silników orbitalnych zalecają docieranie silników przed uruchomieniem do pracy pod obciążeniem. Aby zapewnić optymalną żywotność silnika, przed pierwszym uruchomieniem należy napełnić silnik olejem i pracować przy umiarkowanym obciążeniu i prędkości przez 10-15 minut. Znacząco wydłuża to żywotność silników. Na życzenie klienta wykonujemy docieranie silników na naszym stanowisku hydraulicznym (zapytaj o ofertę: info@hektos.com, tel.: 22 203 50 79).
Poniżej przedstawiono podstawowe czynności przed rozruchem silnika na przykładzie silnika tłoczkowego Hydro Leduc [źródło: instrukcja: Instruction manual M, MA, MSI, Hydro Leduc, 2019]:
|   | 
|   | 
|   | 
Nowoczesne trendy w silnika hydraulicznych
Niektóre firmy wciąż ulepszają konstrukcje silników, które już są na rynku od wielu lat. Przykładem może tu być firma Danfoss produkująca silniki OMPX i OMRX, które są nowymi wersjami dobrze znanych serii OMP (MP, BMP) i OMR (MR, BMR). Przy zachowaniu wymiarów Danfoss zwiększył efektywność tych silników poprzez zastosowanie m.in. mocniejszych łożysk (szersza powierzchnia nośna), ulepszonego wału Cardana i wysokociśnieniowych uszczelnień wału. Dzięki temu te silniki mogą osiągać wyższe momenty obrotowe, mogą dłużej pracować i są bardziej odporne na zanieczyszczenia.Firma Hydro Leduc opracowała i opatentowała silnik tłoczkowy bezdrenażowy w wersji jedno- lub dwukierunkowej. Ten silnik wymaga podłączenia tylko 2 przewodów: zasilającego i powrotnego, olej z drenażu przepływa przez przewód powrotny. Jest to możliwe dzięki zastosowaniu wysokociśnieniowego uszczelnienia wargowego. W przypadku wersji dwukierunkowej silnik jest wyposażony w zintegrowany hydroakumulator w celu kompensacji pików ciśnienia spowodowanych nagłymi zmianami kierunku obrotów. Zastosowanie takiego silnika to przede wszystkim wygoda i uproszczenie układu - nie trzeba podłączać trzeciego przewodu, co jest szczególnie przydatne, gdy instalujemy silnik w gotowej maszynie.
 
 
Hektos - Twój partner w doborze i dostarczaniu silników hydraulicznych
Odpowiedni dobór silnika hydraulicznego uwzględniający specyfikację maszyny, prawidłowe zaprojektowanie układu w celu minimalizacji strat energii oraz zachowanie zasad eksploatacji silnika (przede wszystkim jego przeciążenia) może znacząco wpłynąć na obniżenie kosztów eksploatacji oraz zwiększenie wydajności maszyny. Wpływ na koszt eksploatacji ma również sposób sterowania prędkością obrotową silnika, jeśli wymaga tego maszyna. Najbardziej korzystny energetycznie jest sposób objętościowy.Przy obliczeniach silnika hydraulicznego powinno się kierować przede wszystkim wymaganiami odbiornika dotyczącymi momentu siły (momentu obrotowego) i prędkości obrotowej.
Jeśli wolisz zostawić dobranie silnika profesjonalistom, nie wahaj się i skontaktuj się ze specjalistami zespołu firmy Hektos: info@hektos.com lub +48 22 203 50 79
Zaufało nam już wiele firm, które korzystają z naszych rozwiązań często od kilkunastu lat. Silniki, które mamy w naszej ofercie pochodzą głównie od renomowanych, europejskich producentów. W przypadku produktów zakupionych u nas, prowadzimy także serwis silników.



